ÇáÃÓÊÍáÇÈ - ÇáãÓÊÍáÈÇÊ - ÚæÇãá ÇáÃÓÊÍáÇÈ - ßÇÓÑ ÇáÃÓÊÍáÇÈ - ÞÇäæä ÓÊæßãÇ åæ ÇáäÝØ ÇáÑØÈ¿
áÇ یÍÊæí ÇáäÝØ ÇáãäÊÌ Ýí ÈÏÇیÉ ÚãÑ ÇáãßÇãä ÇáäÝØیÉ Úáì ÃیÉ äÓÈÉ ãä ÇáãÇÁ æÇáÃãáÇÍ ¡ Ãæ ÞÏ یÍÊæí Úáì äÓÈÉ ÞáیáÉ ÌÏÇ ãäªãÇ¡ æáßä Ýí ÇáãÑÇÍá ÇáãÊÞÏãÉ ãä ÚãÑ Çáãßãä ÓیÍÊæí ÇáäÝØ ÇáãäÊÌ Úáì äÓÈ ÚÇáیÉ ãä ÇáãÇÁ æÇáÃãáÇÍ. æÑÛã Ãä ÝÑÞ ÇáßËÇÝÉ Èیä ÇáäÝØ æÇáãÇÁ یÖãä æÌæÏ ÇáãÇÁ ÚÇÏÉ ÊÍÊ ãÓÊæì ÇáäÝØ ¡ æáßä ÈÓÈÈ ÃÓÊãÑÇÑ ÇáÅäÊÇÌ ãä Çáãßãä ÝÃä ÎÑæÌ ßãیÉ ãä ÇáãÇÁ ãÚ ÇáäÝØ ÓæÝ یÒÏÇÏ ÊÏÑیÌیÇ ãÚ ãÑæÑ ÇáæÞÊ.
Ãä ÇáÛÇíÉ ãä ÅäÔÇÁ æÍÏÇÊ ãÚÇáÌÉ ÇáäÝØ ÇáÑØÈ åæ ÈÓÈÈ ÇáÊÃËیÑÇÊ ÇáÓáÈیÉ ááãÇÁ æÇáÃãáÇÍ Úáì ÇáãÚÏÇÊ ÇáãÓÊÎÏãÉ Ýí ÃäÊÇÌ æãÚÇáÌÉ æÎÒä ÇáäÝØ ¡ æßÐáß Úáì ãæÇÕÝÇÊ ÇáãäÊÌÇÊ ÇáäÝØیÉ ¡ ßãÇ Ãäå یÄËÑ Úáì ÓÚÑ ÇáäÝØ ÇáÎÇã ÇáãÕÏÑø.
یÊã Ýí ÚãáیÉ ãÚÇáÌÉ ÇáäÝØ ÇáÑØÈ ÅÒÇáÉ ÇáãáÍ æÇáÚæÇáÞ ÇáÃÎÑì ãä ÇáäÝØ ¡ ÍیË Êßæä ÇáÃãáÇÍ ÐÇÆÈÉ Ýí ÇáãÇÁ Çáãßãäí Ýí Ííä یßæä ÇáãÇÁ Úáì Ôßá ÍÑ Free water Ýí ÇáäÝØ Ãæ Úáì Ôßá ÞØÑÇÊ ÕÛیÑÉ ãäÊÔÑÉ ÈßËÑÉ Ýí ÇáäÝØ ÇáÎÇã ÈÔßá یÌÚá ãä ÇáÕÚÈ ÝÕáªÇ ÈØÑیÞÉ ÝÑÞ ÇáßËÇÝÉ . ßãÇ یÍÊæí ÇáäÝØ Úáì ÇáßáæÑیÏÇÊ æßãیÇÊ ãÎÊáÝÉ ãä ÇáÚæÇáÞ ÇáÕáÈÉ ãËá ÃæßÓیÏÇÊ ÇáÍÏیÏ – ÇáÑãá – ÇáãáÍ ÇáãÊÈáæÑ – ÇáßÇÑÈæä æÇáßÈÑیÊ¡ æÈãÇ Ãä ÇáßËیÑ ãä ªÐå ÇáãßæäÇÊ ÐÇÆÈÉ Ýí ÞØÑÇÊ ÇáãÇÁ ÝÃä äÓÈÉ ßÈیÑÉ ãäªÇ ÓÊõÒÇá ÃËäÇÁ ÚãáیÉ ÅÒÇáÉ ÇáÃãáÇÍ.
æÓäÐßÑ ÈÃÎÊÕÇÑ ÇáÊÃËیÑÇÊ ÇáÓáÈیÉ áæÌæÏ ÇáãÇÁ æÇáÃãáÇÍ Ýí ÇáäÝØ ÇáÎÇã ¡ æßیÝیÉ ÃãÊÒÇÌå ¡ æØÑÞ ÅÒÇáÊå ¡ æãßæäÇÊå.
ÊÃËíÑ æÌæÏ ÇáãÇÁ æÇáÃãáÇÍ Ýí ÇáäÝØ ÇáÎÇã :
Ã. ÊÑÓÈÇÊ ÇáÃãáÇÍ Ýí ÇáãÈÇÏáÇÊ ÇáÍÑÇÑیÉ æÇáÃÝÑÇä :
Ãä æÌæÏ ãËá ªÐå ÇáÊÑÓÈÇÊ یÄÏí Çáì ÊÞáیá ßÝÇÁÉ ªÐå ÇáæÍÏÇÊ ¡ ÍیË Ãä æÌæÏ ÇáÃãáÇÍ ÓیÄÏí Çáì ÊÑÓ黂 Ýí ÃäÇÈیÈ ÇáãÈÇÏáÇÊ ÇáÍÑÇÑیÉ æÇáÃÝÑÇä Úáì Ôßá ßÊá ÕáÈÉ ÊÄÏí Çáì ÊÞáیá ÃÞØÇÑ ªÐå ÇáÃäÇÈیÈ æãä Ëã ÒیÇÏÉ ÍÑÇÑ滂 (ÍÑÇÑÉ ÇáÞÔÑÉ skin temperature) æÇáÊÓÈÈ ÈÊÖÑÑªÇ æÈÇáÊÇáí ÊÖÑÑ ªÐå ÇáæÍÏÇÊ ÈÇáßÇãá ããÇ یÄÏí Çáì ÎÓÇÑÉ ßÈیÑÉ Ýí ÇáÅäÊÇÌ ÈÓÈÈ ÊæÞÝ ªÐå ÇáæÍÏÇÊ Úä ÇáÚãá áÃÛÑÇÖ ÇáÕیÇäÉ.
È. Êßæä ÍÇãÖ ÇáªیÏÑæßáæÑیß HCL ÇáãÓÈÈ ááÊÂßá :
Ãä ÓÈÈ Êßæä ÍÇãÖ ÇáªیÏÑæßáæÑیß ªæ ÊÍáá ÇáßáæÑیÏÇÊ ÃËäÇÁ ÚãáیÉ ÇáÊÞØیÑ ¡ æªÐÇ ÇáÍÇãÖ Ðæ ÝÇÚáیÉ ÊÂßáیÉ ßÈیÑÉ ¡ ããÇ یÓÈÈ ÍÏæË ÇáÊÂßá Ýí ÇáæÍÏÇÊ æÇáãÚÏÇÊ.
Ì. ÒیÇÏÉ Ýí ÃÓʪáÇß ÇáØÇÞÉ :
Ãä æÌæÏ ÇáãÇÁ Ýí ÇáäÝØ ÇáÎÇã یÄÏí Çáì ÒیÇÏÉ Ýí ÃÓʪáÇß ÇáØÇÞÉ ¡ ÍیË Ãä ÇáãÇÁ یÍÊÇÌ Çáì ØÇÞÉ ÊÚÇÏá (٨) ãÑÇÊ ÇáØÇÞÉ ÇáãÓÊÚãáÉ áÊÈÎÑ ÇáäÝØ ÇáÎÇã.
Ï. ÊÃËیÑÇÊ ÃÎÑì ãÎÊáÝÉ:
æãäªÇ ÊÞáیá ÍÌã ÇáÃäÇÈیÈ ÇáäÇÞáÉ ááäÝØ ¡ æÍÌã ÇáãÚÏÇÊ ÇáãÓÊÎÏãÉ Ýí ÇáãÚÇáÌÉ.
ßíÝ íãÊÒÌ ÇáãÇÁ ÇáãÇáÍ ÈÇáäÝØ ÇáÎÇã¿
Ãä ÇáãÇÁ ÇáãÇáÍ یäÊÔÑ Ýí ÇáäÝØ ÇáÎÇã ßãÇ ÐßÑäÇ ÈÔßáیä:
Ã. ÇáãÇÁ ÇáÍÑ Free Water ÍیË یäÊÔÑ ÇáãÇÁ Úáì Ôßá ÌÒیÆÇÊ ßÈیÑÉ ãä ÇáãÇÁ ÏÇÎá ÇáäÝØ ÇáÎÇã ¡ æیäÝÕá Úä ÇáãÇÁ ÈÓªæáÉ ÈÝÚá ÝÑÞ ÇáßËÇÝÉ æÐáß ÈãÌÑÏ ÃÓÊÞÑÇÑ
ÇáãÒیÌ áÝÊÑÉ ãäÇÓÈÉ.
È. ÇáãÇÁ ÇáãÓÊÍáÈ Emulsified water ÍیË یäÊÔÑ ÇáãÇÁ ÏÇÎá ÇáäÝØ Úáì Ôßá ÞØÑÇÊ ãÍÇØÉ ÈÛÔÇÁ Þæí ÈÝÚá ÚæÇãá ÇáÃÓÊÍáÇÈ ¡ æáÇ یãßä ÝÕá ªÐÇ ÇáäæÚ ãä ÇáãÇÁ
ÈÓªæáÉ. ãÇ åæ ÇáÃÓÊÍáÇÈ Emulsification æãÇ åí ÇáãÓÊÍáÈÇÊ Emulsions¿
ÇáÃÓÊÍáÇÈ Emulsification: ªæ æÌæÏ ÓÇÆáیä áÇ یÐæÈÇä Ýí ÈÚÖªãÇ ¡ Èá یÊÔÊÊ ÃÍϪãÇ Ýí ÇáÂÎÑ æÊÚÊãÏ ÏÑÌÉ ÃÓÊÞÑÇÑیÉ ÇáãÓÊÍáÈ Úáì ØÈیÚÉ ÇáÎáØ æÚáì ØÈیÚÉ ÇáÓÇÆáیä ãä ÍیË ÇáÊÑßیÈ ÇáßیãیÇæí æÇááÒæÌÉ ¡ ßãÇ Ãä áÏÑÌÉ ÇáÍÑÇÑÉ ÊÃËیÑ Úáì ÃÓÊÞÑÇÑیÉ ÇáãÓÊÍáÈÇÊ æáßí یÊßæä ãÓÊÍáÈ یÌÈ ÊæÇÝÑ ÓÇÆáیä áÇ یãÊÒÌ ÃÍϪãÇ ãÚ ÇáÂÎÑ ãÚ æÌæÏ ÚæÇãá ÇáÃÓÊÍáÇÈ æãÏÉ ÇáÎáØ ÇáßÇÝیÉ áÃäÊÔÇÑ ÇáØæÑ ÛیÑ ÇáãÓÊãÑ Ýí ÇáØæÑ ÇáãÓÊãÑ.
æÝí ÇáÕäÇÚÉ ÇáäÝØیÉ ÝÃä ÇáäÝØ æÇáãÇÁ ÓÇÆáÇä áÇ یãÊÒÌ ÃÍϪãÇ ãÚ ÇáÂÎÑ æیßæä ÚÇãá ÇáÃÓÊÍáÇÈ ªæ ÇáÌÒیÆÇÊ ÇáÕáÈÉ ¡ ÇáãæÇÏ ÇáÈÇÑÇÝیäیÉ Parrafins ¡ÇáãæÇÏ ÇáÃÓÝáÊیäیÉ Asphaltens ¡ ÇáÍæÇãÖ ÇáÚÖæیÉ ÇáÐÇÆÈÉ Ýí ÇáäÝØ ¡ ¡ ÇáãÑßÈÇÊ ÇáÑÇÊäÌیÉ Resinous substances ¡ ÈÇáÃÖÇÝÉ Çáì ÇáãæÇÏ ÇáÕáÈÉ ÇáãäÊÔÑÉ Ýí ÇáäÝØ ãËá ÇáÑãá ¡ ÇáßÇÑÈæä ¡ ÇáßÇáÓیæã ¡ ÇáÓáیßÇ ¡ ÇáÍÏیÏ ¡ ÇáÒäß ¡ ÓáÝÇÊ ÇáÃáæãäیæã Ýí Íیä یÍÕá ÇáãÒÌ Ýí ÇáÂÈÇÑ æÇáÃäÇÈیÈ æÝí ÇáÕãÇãÇÊ ÇáÎÇäÞÉ Choke valves .
یÎÊáÝ Óãß æãßæäÇÊ ØÈÞÉ ÇáãÓÊÍáÈ ÊÈÚÇ áÚÏÉ ÚæÇãá æªí:
١. ßãیÉ ÇáãæÇÏ ÇáãÓÈÈÉ áÍÏæË ÇáÃÓÊÍáÇÈ ÇáãæÌæÏÉ Ýí ÇáäÝØ ÇáÎÇã.
٢. ÇáÔæÇÆÈ ÇáÕáÈÉ ÇáãæÌæÏÉ Ýí ÇáäÝØ ÇáÎÇã Ãæ ÇáãÇÁ.
٣. ÏÑÌÉ ÃÓÊÍáÇÈ ÇáãÇÁ Ýí ÇáäÝØ ÇáÎÇã.
٤. ÇáãßæäÇÊ ÇáÔãÚیÉ Ýí ÇáäÝØ ÇáÎÇã Waxy components .
Ãä ãÏì ÕÚæÈÉ ÝÕá ÇáãÇÁ ÇáãÓÊÍáÈ ÊÚÊãÏ Úáì ÃÓÊÞÑÇÑیÉ ªÐÇ ÇáãÓÊÍáÈ . æÊÚÊãÏ ÃÓÊÞÑÇÑیÉ ÇáãÓÊÍáÈ Úáì ÇáÚæÇãá ÇáÊÇáیÉ:
١. ÝÑÞ ÇáßËÇÝÉ Èیä ÇáãÇÁ æÇáäÝØ.
٢. ÍÌã ÌÒیÆÇÊ ÇáãÇÁ.
٣. ÇááÒæÌÉ Viscosity
٤. ÇáÔÏ ÇáÓØÍí Interfacial Tension
٥. æÌæÏ ÚæÇãá ÇáÃÓÊÍáÇÈ.
Ãä ÝÑÞ ÇáßËÇÝÉ یÚÊÈÑ ãä êã ÇáÚæÇãá ÇáÊí ÊÍÏÏ ÓÑÚÉ äÒæá ÞØÑÇÊ ÇáãÇÁ ãä ÇáØæÑ ÇáãÓÊãÑ ááäÝØ. ÍیË ßáãÇ ÒÇÏ ÇáÝÑÞ Èیä ÇáßËÇÝÊیä ÓÊÞá ÃÓÊÞÑÇÑíÉ ÇáãÓÊÍáÈ
æÊÒیÏ ÓÑÚÉ äÒæá æÃÓÊÞÑÇÑ ÞØÑÇÊ ÇáãÇÁ.
ßãÇ یÄËÑ ÍÌã ÇáÞØÑÉ Úáì ÓÑÚÉ äÒæáªÇ ¡ ÍیË ßáãÇ ÒÇÏ ÍÌãªÇ ÒÇÏÊ ÓÑÚÉ ÃÓÊÞÑÇÑªÇ æäÒæáªÇ Ýí ÇáØæÑ ÇáãÓÊãÑ. æÍÌã ÞØÑÉ ÇáãÓÊÍáÈ یÚÊãÏ ÈÔßá ÃÓÇÓí Úáì
ÏÑÌÉ ÇáãÒÌ ÇáÊí یÊÚÑÖ áªÇ ÇáãÓÊÍáÈ ÞÈá ÇáãÚÇáÌÉ ¡ ÍیË Ãä ÇáÊÏÝÞ ÚÈÑ ÇáãÖÎÇÊ ¡ ÇáÕãÇãÇÊ ÇáÎÇäÞÉ ¡ ÇáÕãÇãÇÊ ÇáÃÎÑì Ãæ ÈÚÖ ÇáãÚÏÇÊ ÇáÓØÍیÉ ÇáÃÎÑì
یÞáá ÍÌã ÞØÑÇÊ ÇáãÇÁ.
ÃãÇ ÇááÒæÌÉ ÝÊáÚÈ ÏæÑÇ ÃÓÇÓیÇ Ýí åÐå ÇáÚãáíÉ ÍیË ßáãÇ ÃÒÏÇÏÊ ÇááÒæÌÉ ÝÃä ÓÑÚÉ ÍÑßÉ ÞØÑÇÊ ÇáãÇÁ ÓÊÞá ¡ ããÇ یÄÏí Çáì ÇáÞáíá ãä ÇáÇäÏãÇÌ Coalescence æÈÇáÊÇáí Çáì ÕÚæÈÉ ÇáãÚÇáÌÉ.
æÝí ÍÇáÉ ÚÏã æÌæÏ Ãí ÚÇãá ÃÓÊÍáÇÈ ¡ ÝÃä ÇáÔÏ ÇáÓØÍí Èیä ÇáäÝØ æÇáãÇÁ ÓیÒیÏ ããÇ یÓªáø ÃäÏãÇÌ ÞØÑÇÊ ÇáãÇÁ ÃãÇ ÚäÏ æÌæÏ ÚÇãá ÃÓÊÍáÇÈ ÝÃä ÇáÔÏ ÇáÓØÍí
ÓیÞá ããÇ یÄÏí Çáì ÊÞáیá ÇáÃäÏãÇÌ Èیä ÞØÑÇÊ ÇáãÇÁ.
Ãä ÇáÚæÇãá ÇáãÐßæÑÉ ÃÚáÇå ÊÍÏÏ ÃÓÊÞÑÇÑیÉ ÇáãÓÊÍáÈ ¡ Ãä ÈÚÖ ÇáãÓÊÍáÈÇÊ ÞÏ ÊÓÊÛÑÞ ÃÓÇÈیÚ Ãæ ÔªæÑ áßí ÊäÝÕá ÅÐÇ ÊÑßÊ áæÍ컂 Ýí ÎÒÇä æÈÏæä ãÚÇáÌÉ ¡ ÃãÇ ÈÚÖ ÇáãÓÊÍáÈÇÊ ÛیÑ ÇáãÓÊÞÑÉ ÝÞÏ ÊÃÎÐ ÏÞÇÆÞ ááÝÕá.
Ãä ÇáãÓÊÍáÈÇÊ ÇáÚÇÏیÉ ÊÊßæä ãä ÇáäÝØ ﴿ߨæÑ ãÓÊãÑ Ãæ ÎÇÑÌí ﴾ æÇáãÇÁ ﴿ߨæÑ ÏÇÎáí Ãæ ãäÊÔÑ﴾ æÞÏ یÍÕá ÇáÇÓÊÍáÇÈ ÈÔßá ÚßÓí Ýí ÈÚÖ ÇáÍÇáÇÊ ﴿ÚäÏ æÌæÏ äÓÈÉ ÚÇáیÉ ãä ÇáãÇÁ﴾. æªäÇ äÌÏ ÇáÓÄÇá ÇáÐí یØÑÍ äÝÓå ªæ: ãÇ ªæ ÇáÔíÁ ÇáÐí یãßä Ãä یÞæã Èå ÇáãÕãã áÊÌäÈ ÇáãÓÊÍáÈÇÊ ÞÏÑ ÇáÅãßÇä¿
ÇáÌæÇÈ ªæ: ÊÞáیá ÓÑÚÉ ÇáÊÏÝÞ ¡ æÊÞáیá ÇáÊÛیÑÇÊ æÇáÊÖیÞøÇÊ ÇáãÝÇÌÆÉ Ýí ÃÊÌÇå ÇáÌÑیÇä.
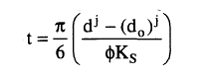
یÌÈ ÚáیäÇ ÇáÊÚÑÝ Úáì ÞÇäæä ÓÊæß Stock's Law ÍíË Ãäå ÇáÞÇäæä ÇáÐí íÍßã ßá ÚãáíÇÊ ãÚÇáÌÉ ÇáäÝØ ÇáÑØÈ ¡ æíßæä ßÇáÂÊí:
ÍíË Ãä :ft/sec ÓÑÚÉ ÞØÑÇÊ ÇáãÇÁ : V
ËÇÈÊ : K
micron ÞØÑ ÇáÞØÑÇÊ ÇáãÇÆیÉ : D
ÝÑÞ ÇáßËÇÝÉ Èیä ÇáãÇÁ æÇáäÝØ : (dw-do)
ÇáÊÚÌیá ÇáÃÑÖí : G
cp ÇááÒæÌÉ : μ ãÇ åí ÚæÇãá ÇáÇÓÊÍáÇÈ Emulsifiers ¿
áÚá ãä Çáãªã ÌÏÇ ÚäÏ ÇáÊÝßیÑ ÈÃÓÊÞÑÇÑیÉ ÇáãÓÊÍáÈ ¡ ÃÏÑÇß Ãä ÇáãÒیÌ ÇáãÊßæä ãä ÇáäÝØ ÇáäÞí Ãæ ÇáãÇÁ ÇáäÞí ÈÏæä æÌæÏ ÚÇãá ÃÓÊÍáÇÈ æÚÏã æÌæÏ ãÒÌ ¡ ÓیÄÏí Çáì Êßæä ãÓÊÍáÈ Óªá ÇáÝÕá یãßä ÝÕáå ÈÓªæáÉ ¡ ÍیË Ãä ØÈیÚÉ ÇáÓæÇÆá ÇáããÊÒÌÉ ªæ ÇáÍÕæá Úáì ÃÞá ÊãÇÓ ããßä Ãæ ÃÞá ãÓÇÍÉ ÓØÍیÉ ããßäÉ ¡ æáÐáß ÝÃä ÇáãÇÁ ÓیäÊÔÑ Úáì Ôßá ÞØÑÇÊ ßÑæیÉ ¡ æÇáÞØÑÇÊ ÇáÕÛیÑÉ ÓÊãیá Çáì ÇáÃäÏãÇÌ ãÚ ÈÚÖªÇ áÊßæیä ÞØÑÇÊ ÃßÈÑ ¡ æÝí ÍÇáÉ ÚÏã æÌæÏ ÚÇãá ÃÓÊÍáÇÈ ÓÊÓÊÞÑ ªÐå ÇáÞØÑÇÊ Ýí ÇáÃÓÝá .
ÃãÇ ÚæÇãá ÇáÇÓÊÍáÇÈ Ýªí ãæÇÏ äÔØÉ ÓØÍیÇ Active Surfactant æáªÇ ãیá ááÐæÈÇä Ýí ÃÍÏ ÇáØæÑیä ÇáÓÇÆáیä ããÇ یÄÏí Çáì ÒیÇÏÉ ÊÑßیÒ ÇáÍÏ ÇáÝÇÕá ¡ æªäÇß ÇáÚÏیÏ ãä ÇáØÑÞ ÇáÊí یÛیÑ ÈªÇ ÚÇãá ÇáÃÓÊÍáÇÈ ãä äæÚیÉ ÇáÃäÊÔÇÑ Ýí ÇáãÓÊÍáÈ ¡ æیãßä ÊÕæÑ ÝÚá ÚÇãá ÇáÃÓÊÍáÇÈ ÈæÇÍÏ Ãæ ÃßËÑ ãä ÇáÃãæÑ ÇáÊÇáیÉ:
١. یÒیÏ ãä ÇáÔÏ ÇáÓØÍí áÞØÑÉ ÇáãÇÁ ¡ ããÇ یÄÏí Çáì Êßæä ÞØÑÇÊ ÕÛیÑÉ ÊÃÎÐ æÞÊÇ ÃØæá Ýí ÇáÇäÏãÇÌ Ãæ Ýí Êßæیä ÞØÑÇÊ ßÈیÑÉ یÓªá ÝÕáªÇ.
٢. íßæøä ÛØÇÁÇð áÒÌÇð Úáì ÇáÞØÑÇÊ ããÇ یÄÏí Çáì ãäÚªÇ ãä ÇáÇäÏãÇÌ ãÚ ÈÚÖªÇ æÈÇáÊÇáí ÒیÇÏÉ Òãä ÃÓÊÞÑÇѪÇ.
٣. ÞÏ Êßæä ÇáãÓÊÍáÈÇÊ ÌÒیÆÇÊ ãÓÊÞØÈÉ ããÇ یÌÚáªÇ ÊÑÕ äÝÓªÇ ÈØÑیÞÉ ÊÄÏí Çáì Êßæیä ÔÍäÉ ßªÑÈÇÆیÉ Úáì ÓØÍ ÇáÞØÑÇÊ ¡ æßáãÇ ÃäÎÝÖÊ ªÐå ÇáÔÍäÉ ÝÃä ßá
ÞØÑÊیä ÓÊÌÊãÚÇä ÈÞæÉ ãäÇÓÈÉ æßÇÝیÉ ááÊÛáÈ Úáì ÇáÊäÇÝÑ ÞÈá ÍÕæá ÇáÃäÏãÇÌ.Ãä ÇáãæÇÏ ÇáäÔØÉ ÓØÍیÇð ÇáãæÌæÏÉ ÈÔßá ØÈیÚí Ýí ÇáäÝØ ÓÊÚãá ßÚæÇãá ÃÓÊÍáÇÈ ãËá : ÇáÈÇÑÇÝیäÇÊ ¡ ÇáÑÇÊäÌÇÊ Resins ¡ ÇáÍæÇãÖ ÇáÚÖæیÉ Organic Acids ¡ ÇáÃãáÇÍ ÇáãÚÏäیÉ ¡ ÇáãæÇÏ ÇáÛÑæیÉ ¡ æÇáÃÓÝáÊیäÇÊ ﴿æªí ÇáãÑßÈÇÊ ÇáßیãیÇæیÉ ÇáÍÇæیÉ Úáì ÇáßÈÑیÊ – ÇáäÊÑæÌیä - ÇáÃæßÓÌیä﴾ ¡ ÈÇáÅÖÇÝÉ Çáì ÓæÇÆá ÇáÍÝÑ ¡ ÍیË یãßä áÃí ãä ªÐå ÇáãæÇÏ Ãä Êßæä ÚæÇãá ÃÓÊÍáÇÈ.áÛÑÖ Êßæä ãÓÊÍáÈ ãÓÊÞÑ Èیä ÓÇÆáیä ¡ یÌÈ ÊæÝÑ ËáÇËÉ ÔÑæØ:
Ãä äæÚ æßãیÉ ÚÇãá ÇáÃÓÊÍáÇÈ Emulsifying Agent áå ÊÃËیÑ Âäí Úáì ÃÓÊÞÑÇÑیÉ ÇáãÓÊÍáÈ ßãÇ Ãä ªäÇß ÚÏÏÇ ãä ÇáÚæÇãá ÇáÃÎÑì ÇáãÄËÑÉ ãËá ÓÑÚÉ ÃäÊÞÇá ÚÇãá ÇáÃÓÊÍáÇÈ Çáì ÇáÓØÍ ÇáÝÇÕá Èیä ÇáäÝØ æÇáãÇÁ æãÏì ÞæÉ ÇáÍÏ ÇáÝÇÕá.
Ãä ÇáãÓÊÍáÈÇÊ (ÈÚÏ ÇáãÒÌ) æÊßæä ÇáÈÇÑÇÝیäÇÊ æÇáÃÓÝáÊیäÇÊ یãßä Ãä یßæä ÃÞá ËÈÇÊÇ æÃÓªá ÈÇáãÚÇáÌÉ ÅÐÇ áã یßÊãá æÕæáªÇ Çáì ÇáÍÏ ÇáÝÇÕá ¡ ÃãÇ ÈÞÇÁ ÇáãÓÊÍáÈ áãÏÉ ÃØæá ÝیÄÏí Çáì Ãä یÕÈÍ ÃÕÚÈ Ýí ÇáãÚÇáÌÉ. æÈÃÎÊÕÇÑ ÝßáãÇ Êã ÇáÅÓÑÇÚ ÈãÚÇáÌÉ ÇáãÓÊÍáÈ ßÇä Ðáß ÃÝÖá ¡ áÃä Øæá ÚãÑ ÇáãÓÊÍáÈ یÄÏí Çáì ËÈÇÊå.
١. یÌÈ Ãä یßæä ÇáÓÇÆáیä ÛیÑ ããÊÒÌیä.
٢. ÊæÝÑ ØÇÞÉ ßÇÝیÉ áÍÕæá ÇáÊÔÊÊ áÃÍϪãÇ Ýí ÇáÂÎÑ.
٣. ÊæÝÑ ÚÇãá ÃÓÊÍáÇÈ emulsifying agent.
æáßä ãÇ ªæ äæÚ ÇáÃÖØÑÇÈ ÇáãÄÏí Çáì ÇáÊÔÊÊ¿ ÇáÌæÇÈ ªæ Ãä ÇáãÓÊÍáÈÇÊ ÚÇÏÉ ð áÇ ÊæÌÏ Ýí Çáãßãä ¡ æáßäªÇ ÊÊÔßá ÈÓÈÈ ÇáÃÖØÑÇÈ ÇáÍÇÕá Ýí ãÚÏÇÊ ÇáÅäÊÇÌ ÈÏÁÇð ãä Çáãßãä ÍیË یÊÏÝÞ ÇáäÝØ æÇáãÇÁ ãä ÎáÇá ÕãÇã ÎÇäÞ choke valve ããÇ íÄÏí Çáì ÊÚÑÖ ÇáãæÇÆÚ Çáì ÇáʪیÌ ÈÓÈÈ ÇÖØÑÇÈ ÇáÌÑیÇä ããÇ یÄÏí Çáì ÊÓÑÈ ÞØیÑÇÊ ÇáãÇÁ Çáì ÇáäÝØ .
ßÇÓÑ ÇáÃÓÊÍáÇÈ deemulsifier
æªí ãæÇÏ ÊÓÊÚãá áßÓÑ ÇáÃÓÊÍáÇÈ æیÍãá ÃÓãÇÁÇ ÊÌÇÑیÉ ãÎÊáÝÉ ãËá TretoliteTM, ViscoTM, BreaxitTM æªí Ýí ÇáÛÇáÈ ãæÇÏ ÈæáیãÑیÉ ÐÇÊ ÃæÒÇä ÌÒیÆیÉ ÚÇáیÉ High Molecular weight polymers ÊÚãá Úáì ãÚÇÏáÉ ÊÃËیÑ ÚæÇãá ÇáÃÓÊÍáÇÈ æÊÞáیá ÇáÔÏ ÇáÓØÍí áÞØÑÇÊ ÇáãÇÁ ¡ æÊßæä ãæÇÏ äÔØÉ ÓØÍیÇ ¡ æÃÓÊÎÏÇãªÇ ÈÔßá ÃßËÑ ãä
ÇááÇÒã ããÇ یÄÏí Çáì Êßæیä ãÓÊÍáÈÇÊ ÃßËÑ ÃÓÊÞÑÇÑÇ .
Ãä æÌæÏ ªÐå ÇáãæÇÏ یÓÇÚÏ Úáì ÝÕá ÇáãÇÁ Úä ÇáäÝØ . Ãä ßÇÓÑ ÇáÃÓÊÍáÇÈ یÌÈ Ãä Êßæä áå ÇáÞÏÑÉ Úáì ÇáÊäÞá ÎáÇá ØæÑ ÇáäÝØ Çáì ÇáÍÏ ÇáÝÇÕá ááÞØÑÉ ¡ ÍیË ÓÊÊÚÇãá ãÚ ÊÑßیÒ ÚÇá ãä ÚÇãá ÇáÃÓÊÍáÇÈ ¡ æÈªÐÇ ÇáÔßá ÝÃä ãÌÇãیÚ ãä ÇáÞØÑÇÊ ÊÌÊãÚ æÝí ªÐå ÇáÃËäÇÁ ÝÃä ÛÔÇÁ ÇáãÓÊÍáÈ ÓیÈÞì ãÓÊãÑÇð ¡ ÝÅÐÇ ßÇä ÚÇãá ÇáÃÓÊÍáÇÈ ÖÚیÝÇð ÝÃä ªÐÇ ÝÃä ªÐÇ ÓیÄÏí Çáì ÊÌãÚ ÇáÞØÑÇÊ.
æÝí ÃÛáÈ ÇáÍÇáÇÊ ÝÃä ßÇÓÑ ÇáÃÓÊÍáÇÈ ÓیÞæã ÈãÚÇÏáÉ ÚæÇãá ÇáÃÓÊÍáÇÈ æÓیÓÇÚÏ Úáì ßÓÑ ÛÔÇÁ ÇáÞØÑÉ ããÇ یÓÇÚÏ Úáì ÇáÊÌãÚ. æÚäÏãÇ یßæä ÚÇãá ÇáÃÓÊÍáÇÈ Ýí ÍÇáÉ ÛیÑ ãÓÊÞÑÉ ÝÃä ßÓÑ ÛÔÇÁ ÇáÞØÑÉ یÄÏí Çáì ÒیÇÏÉ ÍÌã ÞØÑÉ ÇáãÇÁ.
Ãä ßÈÑیÊÇÊ ÇáÍÏیÏ æØیä ÇáÍÝÑ ÞÏ یßæä ãÈáá ÈÇáãÇÁ ããÇ یÄÏí Çáì ÊÑßå ááÍÏ ÇáÝÇÕá interface æÊÔÊÊå Ýí ÞØÑÉ ÇáãÇÁ. ÃãÇ ÇáÈÇÑÇÝیäÇÊ æÇáÃÓÝáÊیäÇÊ Ýãä Çáããßä Ãä ÊÐæÈ Ãæ ÊÊÈÏá áÌÚá ÃÛÔی滂 ÃÞá áÒæÌÉ áßí ÊÊÏÝÞ ÎÇÑÌÇ Ãæ ÞÏ Êßæä ãÈááÉ ÈÇáäÝØ ããÇ یÌÚáªÇ ãäÊÔÑÉ Ýí ÇáäÝØ. Ãäå ãä ÛیÑ ÇáØÈیÚí Ãä یÞæã ãÑßÈ ßیãیÇæí ÈÇáÞیÇã Èßá ÇáÃÝÚÇá ÇáËáÇËÉ ÇÚáÇå ¡ áªÐÇ یÓÊÚãá ÎáیØ ãä ÇáãÑßÈÇÊ áÊÍÞیÞ ÇáãæÇÒäÉ ÇáÕÍیÍÉ¡ ÚäÏ ÃÎÊیÇÑ ãÇÏÉ ßÇÓÑ ÇáÃÓÊÍáÇÈ یÌÈ ÇáÊÝßیÑ ÈäæÚ ÇáãäÙæãÉ ¡ ÝÅÐÇ ßÇäÊ ÚÈÇÑÉ Úä
ÎÒÇä ÊÑßیÏ ÝÃä ÇáãÇÏÉ ÇáãÓÊÚãáÉ یÌÈ Ãä Êßæä ãÑßÈ ÈØíÁ ÇáÝÚá slow-acting compound ááÍÕæá Úáì äÊÇÆÌ ÌیÏÉ ¡ ÃãÇ ÅÐÇ ßÇäÊ ÇáãäÙæãÉ ÃáßÊÑæßیãیÇæیÉ (ÍیË یÊæÌÈ ÍÏæË ÃÖØÑÇÈ æÊÌãÚ ááÞØÑÇÊ ãÞÊÑä ÈæÌæÏ ãÌÇá ߪÑÈÇÆí ßãÇ یÍÕá Ýí (Desalter Ãæ dehydrator) ªäÇß ÍÇÌÉ Çáì ÃÓÊÚãÇá ßÇÓÑ ÃÓÊÍáÇÈ Ðæ ÝÚá ÓÑیÚ
quick acting æÛÇáÈÇ ãÇ یÊã ÝÍÕ ãæÇÏ ßÇÓÑ ÇáÃÓÊÍáÇÈ Ýí ÞäÇäí ÃÎÊÈÇÑ ¡ æÊÊÖãä ÇáØÑیÞÉ ãÒÌ ÇáÚÏیÏ ãä ÇáãæÇÏ ÇáßیãیÇæیÉ ãÚ äãÇÐÌ ãä ÇáãÓÊÍáÈÇÊ ¡ æãä Ëã ãÑÇÞÈÉ ÇáäÊÇÆÌ ÍíË Ãä ªÐå ÇáÝÍæÕÇÊ Êßæä ãªãÉ æÝÇÚáÉ Ýí ÊÍÏیÏ ÇáãæÇÏ ÇáßیãیÇæیÉ æÃÎÊیÇÑ ÇáãäÇÓÈ ãäªÇ.
Ãä ªÐå ÇáÃÎÊÈÇÑÇÊ ãªãÉ ÃیÖÇ Ýí ÊÞÏیÑ ßãیÉ ßÇÓÑ ÇáÃÓÊÍáÇÈ ÇáãÓÊÎÏãÉ deemulsifier dose ¡ یÌÈ Ãä ÊÓÊÎÏã ªÐå ÇáÃÎÊÈÇÑÇÊ Úáì äãæÐÌ ãËÇáí æÈÚÏ ÃÎÐ ÇáäãæÐÌ ãÈÇÔÑÉ ¡ ßãÇ یÌÈ ãÑÇÚÇÉ Ãä Êßæä ÇáÙÑæÝ ãÞÇÑÈÉ ÞÏÑ ÇáÅãßÇä Çáì ÇáÙÑæÝ ÇáÍÞیÞیÉ ¡ æáÇ یÌÈ ÃÓÊÚãÇá ÇáãÇÁ ÇáÕäÇÚí ÈÏáÇ Úä ÇáãÇÁ ÇáãäÊÌ áÃä ÇáÃÎیÑ áå ÎæÇÕ ãÎÊáÝÉ ÊãÇãÇ Úä Ãí ãÇÁ ÂÎÑ ¡ æÞÏ یÍÊæí Úáì ÈÚÖ ÇáÔæÇÆÈ ÇáÊí áÇ Êßæä ãæÌæÏÉ Ýí ÇáãÇÁ ÇáÕäÇÚí. æیãßä ÊÍÏیÏ ÇáãæÇÏ ÇáßیãیÇæیÉ ÇáãÑÔÍÉ ááÇÓÊÚãÇá æÇáÌÑÚÇÊ ÇáÊÞÑیÈیÉ áÃÓÊÚãÇáªÇ.
Ãä ÇáØÈیÚÉ ÇáÏیäÇãیßیÉ ááãäÙæãÉ ÇáÍÞیÞیÉ ááãÚÇáÌÉ ÊÊØáÈ ÊÑÔیÍ ÇáÚÏیÏ ãä ÇáãæÇÏ ÇáßیãیÇæیÉ ááÃÓÊÎÏÇã ßãæÇÏ ßÇÓÑ ÇáÃÓÊÍáÇÈ Ýí æÍÏÇÊ ÇáãÚÇáÌÉ ¡ æÝí ÇáÙÑæÝ ÇáÍÞیÞیÉ ÝÃä ßÇÓÑ ÇáÃÓÊÍáÇÈ ÓیÎÖÚ Çáì ÇáÊÛییÑ ÎáÇá ãÑæÑå ÈÕãÇãÇÊ ÇáÓیØÑÉControl valves ÈÇáÅÖÇÝÉ Çáì ÇáÊÛیÑÇÊ ÇáÊí ÊÍÏË Ýí ÚæÇãá ÇáÃÓÊÍáÇÈ ÏÇÎá æÚÇÁ ÇáãÚÇáÌÉ ÈÓÈÈ ÊÑÇßیÈ ÇáÏÎæá inlet diverter Ãä ÞäÇäí ÇáÃÎÊÈÇÑ áÇ یãßä Ãä ÊãËá ÇáÙÑæÝ ÇáÏیäÇãیßیÉ ÇáÍÞیÞیÉ ¡ ÍیË ßáãÇ ÃÎÊáÝÊ ÇáÙÑæÝ ÇáÊÔÛیáیÉ (ÇáÊÏÝÞ Úáì ÓÈیá ÇáãËÇá) یÎÊáÝ ÇáÃÍÊیÇÌ Çáì ßÇÓÑ ÇáÃÓÊÍáÇÈ ¡ ÃãÇ ÇáÊÛیÑÇÊ ÇáÝÕáیÉ ÝÞÏ ÊÄÏí Çáì ÍÏæË ãÔÇßá ÇáÃÓÊÍáÇÈ ÇáÈÇÑÇÝیäí ¡ ÈÇáÅÖÇÝÉ Çáì Ãä æÌæÏ ÇáãæÇÏ ÇáÕáÈÉ یÄÏí Çáì ÊÛیÑ ËÈÇÊیÉ ÇáãÓÊÍáÈ. æáÐáß ãä Çáãªã ãÚÑÝÉ ãÏì ãáÇÆãÉ ßÇÓÑ ÇáÃÓÊÍáÇÈ ááãäÙæãÉ æáÇ یãßä ÃÓÊÚãÇá äÝÓ ÇáäæÚیÉ ãä ßÇÓÑ ÇáÃÓÊÍáÇÈ áãÏÉ ØæیáÉ ãä ÇáÒãä.
ªäÇß ËáÇË ÃãÇßä áÍÞä ãÇÏÉ ßÇÓÑ ÇáÃÓÊÍáÇÈ æªí:
١. ÞÈá ÇáÕãÇã ÇáÎÇäÞ choke valve áÍÏæË ãÒÌ ÔÏیÏ Ýیå ãÚ ÇäÎÝÇÖ ÇáÖÛØ ¡ æÊÚÊÈÑ ªÐå ÇáäÞØÉ ªí ÇáãßÇä ÇáãËÇáí ááÍÞä.
٢. ÞÈá ÕãÇã ÇáÓیØÑÉ Úáì ÇáãÓÊæì Level control Ýí ÇáÚÇÒáÉ ÈÓÈÈ ÍÏæË ÇáãÒÌ Ýí ÇáÕãÇã ÇáãÐᑥ ÚäÏ ÇäÎÝÇÖ ÇáÖÛØ.
٣. یÌÈ Ãä Êßæä äÞØÉ ÇáÍÞä Úáì ÈÚÏ ٦٠-٧٥ ãÊÑ Úä ÚÇÒáÉ ÇáãÇÁ Dehydrator .
åäÇß ËáÇËÉ ÃäæÇÚ ÑÆíÓíÉ ãä ßÇÓÑ ÇáÃÓÊÍáÇÈ æåí:
1. ßÇÓÑ ÇáÃÓÊÍáÇÈ ÓÇáÈ ÇáÂیæäیÉ Cationic.
٢. ßÇÓÑ ÇáÃÓÊÍáÇÈ ãæÌÈ ÇáÂیæäیÉ Ionic .
٣. ßÇÓÑ ÇáÇÓÊÍáÇÈ ÛیÑ ÇáÂیæäí Nonionic .
æªÐÇ ÇáÊæÒیÚ یÚÒì Çáì Ãä ÇáãæÇÏ ÇáãÓÊÍáÈÉ ÐÇÊ ØÈیÚÉ ßیãیÇæیÉ ãÎÊáÝÉ æãä ÇáÖÑæÑí ÅÌÑÇÁ ÇáÝÍæÕÇÊ ÇáãÎÊÈÑیÉ Úáì ÇáÎáیØ ÇáãÓÊÍáÈ ÞÈá ÃÓÊÚãÇá ßÇÓÑ ÇáÃÓÊÍáÇÈ ááÊÚÑÝ Úáì ØÈیÚÊå ÇáÂیæäیÉ æیßæä ãÊæÇÝÞ ãÚ ÇáãæÇÏ ÇáÃÎÑì ÝÚáì ÓÈیá ÇáãËÇá áæ ÃÓÊÎÏã ßÇÓÑ ÇÓÊÍáÇÈ ØÈیÚÊå ÇáßیãیÇÆیÉ ÇáÂیæäیÉ ÓÇáÈÉ Ãí یÍÊæí Úáì ÂیæäÇÊ ÓÇáÈÉ æÇáãæÇÏ ÇáãÑÇÏ ÝÕáªÇ ÊÍÊæí Úáì ÂیæäÇÊ ãæÌÈÉ ÝÓیÊã ÇáÊÝÇÚá Èیä ÇáÂیæäÇÊ ÇáÓÇáÈÉ æÇáãæÌÈÉ æیÒõÇá ÊÃËیÑ ÇáãÓÊÍáÈ.
æÊÊÃáÝ ãäÙæãÉ ßÇÓÑ ÇáÃÓÊÍáÇÈ ÚÇÏÉ ãä ÎÒÇä æãÖÎÇÊ ÊÑÏÏیÉ Plunger Pump áÃäå ÈæÌæÏ ªÐÇ ÇáäæÚ ãä ÇáãÖÎÇÊ äÍÕá Úáì ÊÏÝÞ Þáیá æÖÛØ ÚÇáí.
Êßæä ÚãáíÉ ãÚÇáÌÉ ÇáãÓÊÍáÈÇÊ Úáì ËáÇË ãÑÇÍá:
١. ßÓÑ ÇáãÓÊÍáÈ: ÊÊÖãä ÊãÒیÞ æÊßÓیÑ ÇáÛÔÇÁ ÇáãÍیØ ÈÞØÑÉ ÇáãÇÁ ¡ æÊÍÊÇÌ ªÐå ÇáÚãáیÉ Çáì ÊÚÒیÒ ÈæÇÓØÉ ÇáÍÑÇÑÉ æßÇÓÑ ÇáÃÓÊÍáÇÈ.
٢. ÃäÏãÇÌ ÇáÞØÑÇÊ: æیÊÖãä ÃÊÍÇÏ ÞØÑÇÊ ÇáãÇÁ æÇáÊí ÊÕÈÍ ÍÑÉ ÈÚÏ ßÓÑ ÇáãÓÊÍáÈ ¡ ãßæäÉ ÞØÑÇÊ ßÈیÑÉ. æÇáÃäÏãÇÌ ÏÇáÉ ÞæیÉ ááÒãä ÍیË ßáãÇ ÒÇÏ ÇáÒãä ÒÇÏ
ÇáÃäÏãÇÌ æیÊã ÊÚÒیÒ ªÐå ÇáÚãáیÉ ÈãÌÇá ÃáßÊÑæÓÊÇÊیßí electrostatic field æÚãáیÉ ÇáÛÓá ÈÇáãÇÁ Water Washing.
٣. ÇáÊÑÓÈ ÈÝÚá ÇáÌÇÐÈیÉ Ãä ÇáÞØÑÇÊ ÇáßÈیÑÉ ÇáäÇÊÌÉ ãä ÚãáیÉ ÇáÃäÏãÇÌ ÓæÝ ÊÈÏà ÈÇáÊÑÓÈ ÈÝÚá ÇáÌÇÐÈیÉ æÊÊÌãÚ Ýí ÇáÃÓÝá.
یÌÈ Ãä Êßæä ªÐå ÇáÎØæÇÊ ÈÇáÊÑÊیÈ æÇáÎØæÉ ÇáãÍÏÏÉ ááÚãáیÉ ªí ÇáÊí ÊÚÊãÏ ÈÔßá ÃÓÇÓí Úáì ÇáÒãä (ÇáÃÈØÃ) ¡ æªí ÎØæÉ ÇáÃäÏãÇÌ.
æیÌÈ ÚáیäÇ ÃÏÑÇß Ãä ßáÇ ãä ÇáãÚÇáÌÉ ÇáßیãیÇæیÉ (ßÇÓÑ ÇáÃÓÊÍáÇÈ) æÇáØÑیÞÉ ÇáÍÑÇÑیÉ (ÇáÊÓÎیä) ÊÚãá Úáì ßÓÑ ÇáãÓÊÍáÈ ÝÞØ ¡ Ýí Íیä ÊÞæã ÇáØÑیÞÉ ÇáߪÑÈÇÆیÉ ÈÊÓÑیÚ ÃäÏãÇÌ ÇáÞØÑÇÊ æãä Ëã ÊÑÓیȪÇ. æÈÊÚÈیÑ ÂÎÑ ÝÃä ÇáØÑیÞÉ ÇáߪÑÈÇÆیÉ áÇ ÊÞæã ÈßÓÑ ÇáãÓÊÍáÈ áæÍϪǡ æßãÇ ÃÓÊäÊÌäÇ ÝیãÇ ÓÈÞ Ãä ÎØæÉ ÇáÃäÏãÇÌ ªí ÇáÎØæÉ ÇáÍÇßãÉ æÃäªÇ ÏÇáÉ ááÒãä áÐÇ ÝÃäå ÚäÏ ÊÕãیã ÚÇÒáÇÊ ÇáäÝØ ÇáÑØÈ یÑÇÚì æÖÚ ÈÚÖ ÇáæÓÇÆá ÇáÊí ãä ÔÃäªÇ Ãä ÊÄÏí Çáì ÒیÇÏÉ Òãä ÇáÃäÏãÇÌ ãä ÎáÇá æÖÚ ÊÑÇßیÈ ÊÓªá ÇáÚãáیÉ ¡ ßãÇ Ãä ÒیÇÏÉ[link Point to another website Only the registered members can access]
[link Point to another website Only the registered members can access]
یÄÏí Çáì ßÈÑ ÍÌã ÞØÑÇÊ ÇáãÇÁ¡ áßä Çáì ÍÏ ãÚیä ÝÞØ ¡ ÍیË ÈÚ컂 áä یÝیÏ ÒیÇÏÉ Òãä ÇáãßæË ÈÔíÁ ¡ Ãä ÇáÊÌÇÑÈ ÇáÚãáیÉ ÃËÈÊÊ Ãä Òãä ÇáãßæË ÇáãËÇáí ªæ (١٠- ٣٠) ÏÞیÞÉ Ýí Íیä یÌÈ ÒیÇÏÉ ªÐÇ ÇáÒãä ÈÇáäÓÈÉ ááäÝæØ ÇáËÞیáÉ.
ÇáÚæÇãá ÇáãÄËÑÉ Úáì ãÚÇáÌÉ ÇáäÝØ ÇáÑØÈ :
ÊÃËíÑ ÇáÍÑÇÑÉ :
Ãä ÊÃËیÑ ÇáÍÑÇÑÉ یÊÌÓÏ Ýí ÊÞáیá áÒæÌÉ ÇáäÝØ ÇáÎÇã ããÇ یÄÏí Çáì ÒیÇÏÉ ÓÑÚÉ ÇáÝÕá ÝßáãÇ ÒÇÏÊ ÏÑÌÉ ÇáÍÑÇÑÉ ÞáÊ áÒæÌÉ ÇáäÝØ æÈÇáÊÇáí ÓÑÚÉ ÇáÝÕá áÃä ÓÑÚÉ ÇáÝÕá ÊÊäÇÓÈ ÚßÓیÇ ãÚ áÒæÌÉ ÇáäÝØ æÝÞÇ áÞÇäæä ÓÊæß . Ãä ÊÃËیÑ ÇáÍÑÇÑÉ ÞÏ یÄÏí Çáì ÊÚÒیÒ ÇáÃäÏãÇÌ ãä ÎáÇá ÒیÇÏÉ ÍÑßÉ ÌÒیÆÇÊ ÇáãÇÁ ÇáÕÛیÑÉ æÇáÊí ÓÊÔßá ÌÒیÆÇÊ ßÈیÑÉ äÊیÌÉ áÊÕÇÏãªÇ ãÚ ÈÚÖªÇ ¡ æªÐå ÇáÞØÑÇÊ ÓÊßæä ÓªáÉ ÇáÝÕá ØÈÞÇ áÞÇäæä ÓÊæß ¡ æÊÄÏí ÇáÍÑÇÑÉ ÃیÖÇ Çáì ÅÖÚÇÝ ÛÔÇÁ ÇáãÓÊÍáÈ æÈÇáÊÇáí ßÓÑå ¡ ßãÇ ÊÄÏí ÇáÍÑÇÑÉ Çáì ÅÐÇÈÉ ÈáæÑÇÊ ÇáÈÇÑÇÝیäÇÊ æÇáÃÓÝáÊیäÇÊ ÇáÕÛیÑÉ ããÇ یÞáá ÊÃËیÑªÇ ßãæÇÏ ÊÄÏí Çáì ÇáÃÓÊÍáÇÈ.
ÈÇáÑÛã ãä ÇáÊÃËیÑÇÊ ÇáÇیÌÇÈیÉ ááÍÑÇÑÉ ¡ ÝÃä ªäÇß ÈÚÖ ÇáÓáÈیÇÊ ÇáÊí ÊÓÈ黂 ¡ ÝÞÏ ÊÄËÑ ÇáÍÑÇÑÉ ÊÃËیÑÇ ãªãÇ Ýí ÝÞÏÇä ÇáãÑßÈÇÊ ÇáÎÝیÝÉ Ýí ÇáäÝØ ããÇ یÄËÑ Úáì ÍÌã ÇáäÝØ ¡ Úáì ÓÈیá ÇáãËÇá ÚäÏ ÊÓÎیä äÝØ Ðæ API ãÓÇæ á 35ãä 100 °F Çáì 150 °F ÝÃä åÐÇ ÞÏ íÄÏí Çáì ÝÞÏÇä 1% ãä ÍÌã ÇáäÝØ æÊÞáíá ÇáÍÌã ÇáäæÚí ßãÇ íÌÈ Ãä äÃÎÐ ßáÝÉ ãÚÏÇÊ ÇáÊÓÎíä æßáÝÉ ÛÇÒ ÇáæÞæÏ Fuel Gas ÇáãÓÊÎÏã ááÊÓÎíä áÐÇ یÓÊÍÓä ÃÓÊÚãÇá ÇáÞáیá ãä ÇáÍÑÇÑÉ Ýí ÚãáیÉ ÇáãÚÇáÌÉ.
ÈÃÎÊÕÇÑ ÝÃä áÏÑÌÉ ÍÑÇÑÉ ÇáäÝØ ÇáÏÇÎá Çáì ÇáÚÇÒáÇÊ ÃªãیÉ ßÈیÑÉ æÊÃËیÑ ßÈیÑ Úáì ÚãáیÉ ÇáÚÒá. Ãä ÏÑÌÉ ÇáÍÑÇÑÉ ÇáÊÕãیãیÉ ÊÄÏí Çáì ÊÞáیá áÒæÌÉ ÇáäÝØ æÈÇáÊÇáí ÒیÇÏÉ ÝÑÞ ÇáßËÇÝÉ Èیä ÇáäÝØ ÇáÎÇã ããÇ یÓÑÚø ãä ÚãáیÉ ÇáÝÕá. æÊÄÏí ÏÑÌÇÊ ÇáÍÑÇÑÉ ÇáÃÚáì Çáì ÊÃËیÑÇÊ ÓáÈیÉ. ÝÞÏ ÊÓÈÈø ÊÍÑÑ ÇáãßæäÇÊ ÇáªیÏÑæßÇÑÈæäیÉ ÇáÎÝیÝÉ ããÇ یÄÏí Çáì ÍÏæË ÃÖØÑÇÈ یÚÑÞá ÊÌãÚ ÞØیÑÇÊ ÇáãÇÁ. ßãÇ Ãä ÞØÑÇÊ ÇáÈÎÇÑ ÇáÕÛیÑÉ ÓæÝ ÊäÏÝÚ Çáì ÃÚáì ¡ ããÇ یÚیÞ ÃÓÊÞÑÇÑ ÞØÑÇÊ ÇáãÇÁ ãÚ ÇáäÝØ ÇáÎÇÑÌ.
ÊÃËíÑ ÇáÖÛØ :
áÇ ÊÊÃËÑ ÇáÚÇÒáÇÊ ÈÇáÊÛیÑÇÊ ÇáØÝیÝÉ Ýí ÇáÖÛØ ¡ áßä ãÒیáÉ ÇáÃãáÇÍ Desalter یÌÈ Ãä ÊæÖÚ ÈÏÑÌÉ ÍÑÇÑÉ ÝæÞ äÞØÉ ÇáÝÞÇÚÉ Bubble point áãäÚ ÊÍÑÑ ÇáÛÇÒ.
ÇáÃÓÊÞÑÇÑ :
Ãä ÊÃËیÑ ÇáÌÇÐÈیÉ ªæ ÇáãیßÇäیßیÉ ÇáÃÓÇÓیÉ Ýí ÚãáیÉ ÝÕá ÇáãÇÁ Úä ÇáäÝØ ÇáÎÇã æÊßæä ªÐå ÇáÚãáیÉ ÃßËÑ ÓªæáÉ Ýí ÍÇáÉ æÌæÏ ÇÎÊáÇÝ Èیä ßËÇÝÉ ÇáãÇÁ æÇáäÝØ ÇáÎÇã ¡ æÊÒÏÇÏ ÕÚæÈÉ ÇáÝÕá ßáãÇ ÃÒÏÇÏ ÇáÝÑÞ Èیä ÇáßËÇÝÊیä ÇáãÐßæÑÊیä.
ÇáØÑíÞÉ ÇáßíãíÇæíÉ :
ÓÈÞ ÔÑÍ ÚæÇãá ÇáÃÓÊÍáÇÈ æßÇÓÑ ÇáÃÓÊÍáÇÈ æáßä ÈÞí ÚáیäÇ Ãä äÞæá Ãäå Ýí ªÐå ÇáØÑیÞÉ ÊÏÎá ãÇÏÉ ßÇÓÑ ÇáÃÓÊÍáÇÈ Èیä ØÈÞÉ ÇáãÇÁ æÇáäÝØ æÃËäÇÁ ÇáÚãáیÉ ÊÓÊÈÏá ÇáÓØÍ ÈãæÇÏ ÃÎÑì (áÃä ãæÇÏ ÇáÓØÍ ÇáÓÇÈÞÉ Êßæä ãä ÃÓÈÇÈ ÃÓÊÞÑÇÑیÉ ÇáãÓÊÍáÈ) ¡ ÝÇáãÓÊÍáÈ یßæä ãÓÊÞÑÇ ÚäÏãÇ ÊæÌÏ ØÈÞÉ ãä ÛÔÇÁ ÊÚÒá Èیä ÇáãÇÁ æÇáäÝØ ÇáÊí ÊãäÚ ÚãáیÉ ÇáÃäÏãÇÌ ¡ æیáÚÈ ÇáÒãä æÃÖØÑÇÈ ÇáÌÑیÇä ÏæÑÇ ßÈیÑÇ Ýí äÔÑ ÌÒیÆÇÊ ßÇÓÑ ÇáÃÓÊÍáÇÈ Ýí ãæÇÏ ÇáãÓÊÍáÈ.
æÝÞÇ áÞÇäæä ÓÊæß ÝÃä ÍÌã ÞØÑÇÊ ÇáãÇÁ ÇáÚÇáÞÉ Ýí ÇáäÝØ یÄËÑ ÈÔßá ßÈیÑ Úáì ÓÑÚÉ ÇáÝÕá ÝÓÑÚÉ ÝÕáªÇ Ãæ ÃÓÊÞÑÇÑªÇ ÊÊäÇÓÈ ØÑÏیÇ Çáì ãÑÈÚ ÃÞØÇÑªÇ ¡ ÝÅÐÇ ÊÖÇÚÝ ÞØÑ ÇáÞØÑÉ ÝÃä ÓÑÚÉ ÇáÝÕá ÊÒیÏ ÃÑÈÚ ãÑÇÊ ¡ æªßÐÇ ÝÃä ÃäÏãÇÌ ÇáÞØÑÇÊ ÇáÕÛیÑÉ Çáì ÞØÑÇÊ ßÈیÑÉ ÓیÚÌáø ÚãáیÉ ÇáÝÕá.
ÇáØÑíÞÉ ÇáßåÑÈÇÆíÉ :
áªÐå ÇáØÑیÞÉ Çá쾄 ÇáÃßÈÑ Ýí ÃäÏãÇÌ ÞØÑÇÊ ÇáãÇÁ ÇáÕÛیÑÉ ÇáãäÊÔÑÉ Ýí ÇáäÝØ ÇáÎÇã æÇáÊí ÊäÔØ áÛÑÖ ÇáÃäÏãÇÌ ÃËäÇÁ ÊÓáیØ ãÌÇá ߪÑÈÇÆí ÚÇáí ÚáیªÇ. ÍیË ÊæÌÏ Úáì ÚÇÒáÊí ÇáãÇÁ æÇáÃãáÇÍ ãÍæáÇÊ ßªÑÈÇÆیÉ یÊã ÝیªÇ ÊæáیÏ ÝÑÞ ÌªÏ ßªÑÈÇÆí áÃÓÊÞØÇÈ ÞØÑÇÊ ÇáãÇÁ ÇáÕÛیÑÉ ÇáÚÇáÞÉ Ýí ÇáäÞØ æÊÊÕá ÇáÃÞØÇÈ ÈÇáãÍæáÇÊ ÚÇÏÉ ÈæÇÓØÉ Óáß یãÑ ÎáÇá ÃäÈæÈ ãÛáÞ ÈÕæÑÉ ßáیÉ یÓãì Bushing .
æáßä ãÇ ÇáÐí íÓÈÈå ÇáÊíÇÑ ÇáßåÑÈÇÆí ÏÇÎá ÇáÚÇÒáÉ¿
Ãä ÇáãÌÇá ÇáߪÑÈÇÆí ÇáÚÇáí ÇáãÊæáÏ ÈæÇÓØÉ ãÍæáÇÊ Transformer ÏÇÎá ßá ãä ÚÇÒáÉ ÇáãÑÍáÉ ÇáÃæáì Dehydrator æÚÇÒáÉ ÇáãÑÍáÉ ÇáËÇäیÉ Desalter یÊÃáÝ ãä ÔÈßÉ ãä ÇáÃÞØÇÈ ãä ÓÈیßÉ Carbon–steel æÊßæä ÇáãÍæáÇÊ ãäÕæÈÉ ÃÚáì ÇáÚÇÒáÊیä. Ãä ãÓÊÍáÈ ÇáäÝØ/ÇáãÇÁ ÚäÏ ÌÑیÇäå ÎáÇá ªÐå ÇáÃÞØÇÈ یÕÈÍ ãÔÍæäÇð ÈÔÍäÉ ßªÑÈÇÆیÉ áÐÇ ÓÊÈÏÃ ÞØÑÇÊ ÇáãÇÁ ÇáãÔÍæäÉ ÈÇáÊÌÇÐÈ æÇáÊäÇÝÑ ãÚ ÇáÞØÑÇÊ ÇáÃÎÑì ããÇ یÄÏí Çáì ÊÕÇÏãªÇ æÈÇáÊÇáí Êßæä ÞØÑÇÊ ãÇÁ ßÈیÑÉ ÓªáÉ ÇáÝÕá ÈÇáÌÇÐÈیÉ æÐáß áËÞá æÒäªÇ æªÐå ÇáÚãáیÉ یãßä ÊÍÞیÞªÇ ÈÊÚÑیÖ (ÇáãÇÁ Ýí ÇáãÓÊÍáÈ ÇáäÝØí) Çáì ãÌÇá ߪÑÈÇÆí Ðæ ÝæáÊیÉ ÚÇáیÉ High Voltage electric field .
ÚäÏãÇ یßæä ÓÇÆá ãÇ ÛیÑ ãæÕá (ÇáäÝØ) یÍÊæí Úáì ÓÇÆá ÂÎÑ ãæÕá (ÇáãÇÁ) æیÊã ÊÚÑیÖ ªÐÇ ÇáãÒیÌ Çáì ãÌÇá ÃáßÊÑæÓÊÇÊیßí ÝÃä ÞØÑÇÊ ÇáãÇÁ ÓÊÊÍÏ ãÚ ÈÚÖªÇ ÈÃÍÏ ÇáÙæÇªÑ ÇáÝیÒیÇæیÉ ÇáËáÇËÉ ÇáÂÊیÉ:
- Ãä ªÐå ÇáÞØیÑÇÊ ÊÕÈÍ ãÓÊÞØÈÉ æÊãیá Çáì ÕÝ äÝ ãÚ ÎØæØ ÇáãÌÇá ÇáߪÑÈÇÆí æÈÓÈÈ ÇáÚÒã ÝÃä ÇáÞØÑÇÊ ÇáãæÌÈÉ æÇáÓÇáÈÉ ÊÊÕÇÏã ãÚ ÈÚÖªÇ ããÇ یÓªáø
ÊÌãÚªÇ.
- Ãä ÇáÞØÑÇÊ ÊäÌÐÈ äÍæ ÇáÔÈßÉ ÈÓÈÈ ÇáãÌÇá ÇáߪÑÈÇÆí æÈÓÈÈ ÇáÚÒã ÝÃä ÇáÞØÑÇÊ ÇáÕÛیÑÉ ÊªÊÒ áãÓÇÝÉ ÃßÈÑ ãä ÇáÞØÑÇÊ ÇáßÈیÑÉ ããÇ یÄÏí Çáì ÊÌãÚªÇ.
- Ãä ÇáãÌÇá ÇáߪÑÈÇÆí یÄÏí Çáì ÅÖÚÇÝ æÈÇáÊÇáí ßÓÑ ÛÔÇÁ ÇáãÓÊÍáÈ ÍیË Ãä ÇáÞØÑÉ ÊÓÊØیá ÃÝÞیÇð æÚãæÏیÇð ÈÓÈÈ ÒیÇÏÉ ÇáÔÏ ÇáÓØÍí Èیä ÞØÑÇÊ ÇáäÝØ æÇáãÇÁ
ÇáãÓÊÍáÈ ٠
äÓÈÉ ãÇÁ ÇáÛÓá Wash Water Ratio
Ãä ÇáÛÑÖ ãä ÇáÛÓá ÈÇáãÇÁ ªæ áÅÒÇáÉ ÇáÃãáÇÍ ãä ÇáäÝØ ÇáÎÇã ÍیË Ãä ÅÖÇÝÉ ÇáãÇÁ ÓیÄÏí Çáì ÎÝÖ ÊÑßیÒ ÇáãáÍ Ýí ÇáãÍáæá ÇáãáÍí ããÇ یÓÇÚÏ Úáì ÃÓÊÎáÇÕ ßãیÇÊ ßÈیÑÉ ãä ÇáÃãáÇÍ ÇáãæÌæÏÉ Ýí ÇáäÝØ ÇáÎÇã áÐÇ یÖÇÝ ãÇÁ Ðæ ÏÑÌÉ ãáæÍÉ ÃÞá ãä ãáæÍÉ ÇáãÇÁ ÇáãæÌæÏ Ýí ÇáäÝØ ÇáÎÇã ¡ æÚÇÏÉ ãÇ ÊÍÏË ÚãáیÉ ÇáãÒÌ Èیä ãÇÁ ÇáÛÓیá æÇáãÓÊÍáÈ Ýí ÕãÇã ãä äæÚ globe valve ááÍÕæá Úáì ÎáØ ÌیÏ æáÇ ÈÏ ãä ÇáÃäÊÈÇå Çáì Ãä ªÈæØ ÇáÖÛØ ÇáßÈیÑ ÞÏ یÄÏí Çáì ÇÓÊÍáÇÈ ãÇÁ ÇáÛÓá.
Ãä ÇÓÊÚãÇá ßãیÉ ÛیÑ ßÇÝیÉ ãä ãÇÁ ÇáÛÓá ÊÄÏí Çáì ÊÞáیá (ÚãáیÉ ÅÒÇáÉ ÇáÃãáÇÍ). ÈÓÈÈ ÞáÉ ÇáãÇÁ ÇááÇÒã áÅÐÇÈÉ ÇáÃãáÇÍ.
ÃãÇ ÒیÇÏÉ ßãیÉ ãÇÁ ÇáÛÓá ÃßËÑ ãä ÇááÇÒã ÊÄÏí áÒیÇÏÉ Ýí ßãیÉ ÇáÊیÇÑ ÃãÈیÑیÉ ÚÇáیÉ (Excessive Current) Ãæ ÍÏæËShort circuit Èیä ÇáÃÞØÇÈ ÍیË Ãä ÒیÇÏÉ ÇáãÇÁ ÊÄÏí Çáì ÎáÞ ãÓÇÑÇÊ áÊÓÑÈ ÇáÝæáÊیÉ ãÚ ÍÏæË carryoverááãÇÁ ãÚ ÇáäÝØ ÇáÎÇÑÌ ãä Desalter ßãÇ Ãäå یÄÏí Çáì ÊÞáیá Òãä ãßæË ÇáäÝØ Oil-residence time
ÏÇÎá ÇáÚÇÒáÉ.
ÝÑÞ ÇáÖÛØ ÎáÇá ÕãÇã ÇáãÒÌ Mixing Valve :
Ãä ÏÑÌÉ ãÒÌ ÇáäÝØ æãÇÁ ÇáÛÓá ªí ÏÇáÉ áÝÑÞ ÇáÖÛØ ÎáÇá ÕãÇã ÇáãÒÌ. Ãä ÃÝÖá setpoint áÝÑÞ ÇáÖÛØ áªÐÇ ÇáÕãÇã یÌÈ Ãä یÊÑÇæÍ Èیä (5-15) psig




Reply With Quote






Bookmarks